Ace Hardware Indonesia Stock Price
ACESJK stock quote history news and other vital information to help you with your stock trading and investing. How has Ace Hardware Indonesias share price performed over time and what events caused price changes.
Dow Jones a News Corp company About WSJ.

Ace hardware indonesia stock price. View todays stock price news and analysis for Ace Hardware Indonesia ACEHF. ACES INDONESIA STOCK EXCHANGE. As of 07142021 EDT.
ACEHF Other OTC. View real-time ACES stock price and news along with industry-best analysis. PT Ace Hardware Indonesia Tbk ACESJK Jakarta - Jakarta Delayed Price.
Ace Hardware Indonesia historical stock charts and prices analyst ratings financials and todays real-time ACES stock price. View the latest Ace Hardware Indonesia ACES stock price news historical charts analyst ratings and financial information from WSJ. Find market predictions ACES financials and market news.
Latest Share Price and Events Stable Share Price. The companys home improvement and lifestyle product retail. Sunday Jul 18 1233 PM by.
The price change percentage of PT ACE Hardware Indonesia Tbk over the last month is -1198. Ace Hardware Indonesia Tbk PT. ACESJK Oscar for Technical Support.
Ace Hardware Indonesia shares are more expensive than other comparable stocks. The Stock Price change percentage is a relevant indicator for computing stock performance. Stock quote stock chart quotes analysis advice financials and news for share PT ACE HARDWARE INDONESIA TBK Other OTC.
ACEHF Complete Ace Hardware Indonesia stock news by MarketWatch. The Stock Performance of PT ACE Hardware Indonesia Tbk is significantly lower than the stock. Ace Hardware Indonesia stock research in summary.
ISpring Receives Best Company Award for Customer Service. PT ACE HARDWARE INDONESIA TBK. While they are safely financed they are poor value and show below average growth.
View real-time stock prices and stock quotes for a full financial overview. Barrons also provides information on historical stock ratings target prices company earnings market valuation. Complete Ace Hardware Indonesia stock information by Barrons.
We recommend evaluating whether the future of the company Ace Hardware Indonesia is really as positive as the high price of the shares suggests. ACES is not significantly more volatile than the rest of ID stocks over the past 3 months typically moving - 6 a week. Home Screener News Earnings calendar New dashboard.
PT ACE HARDWARE INDONESIA TBK IDXACES. Ace Hardware Indonesia TBK Stock Price Analysis and Quotes for ACES-IJ Stockverwatch free stock dashboard. Stock analysis for Ace Hardware Indonesia Tbk PT ACEHFOTC US including stock price stock chart company news key statistics fundamentals and company profile.
ACE Hardware Indonesia stock price prediction is an act of determining the future value of ACE Hardware shares using few different conventional methods such as EPS estimation analyst consensus or fundamental intrinsic valuationThe successful prediction of ACE Hardwares future price. Stock quote stock chart quotes analysis advice financials and news for share PT ACE HARDWARE INDONESIA TBK INDONESIA STOCK EXCHANGE. View live ACE HARDWARE INDONESIA TBK chart to track its stocks price action.
Ace Hardware segments its activities into a Home Improvement unit that includes hardware cleaning aids lighting paint and other products and Lifestyle unit that includes automotive furniture and home appliances. 147000 -7000 -455 At close. Find the latest Ace Hardware Indonesia Tbk.
Through its subsidiary PT Toys Game Indonesia the company is also engaged in the toys retail industry.

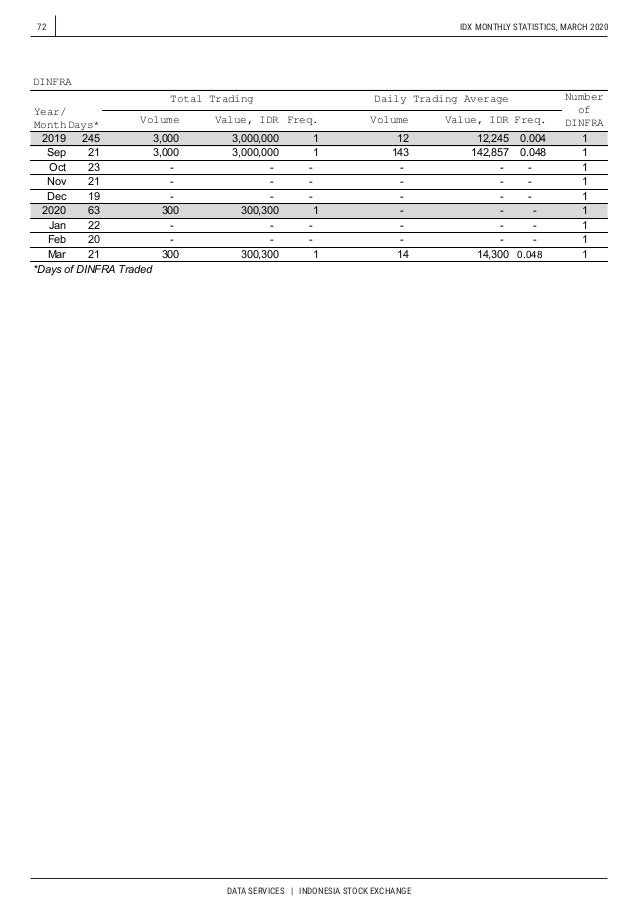
3 Idx Monthly Statistics Maret 2020

3 Idx Monthly Statistics Maret 2020

3 Idx Monthly Statistics Maret 2020

3 Idx Monthly Statistics Maret 2020

Flex Tape Ace Hardware Flex Repair

0 25 San Diego Ca Unisex Pacific Beach Ace Hardware Clothing Headwear Products

3 Idx Monthly Statistics Maret 2020







Post a Comment for "Ace Hardware Indonesia Stock Price"